Бесплатная библиотека стандартов и нормативов www.docload.ru

Все документы, размещенные на этом сайте, не являются их официальным изданием и предназначены исключительно для ознакомительных целей.
Электронные копии этих документов могут распространяться без всяких ограничений. Вы можете размещать информацию с этого сайта на любом другом сайте.
Это некоммерческий сайт и здесь не продаются документы. Вы можете скачать их абсолютно бесплатно!
Содержимое сайта не нарушает чьих-либо авторских прав! Человек имеет право на информацию!

 

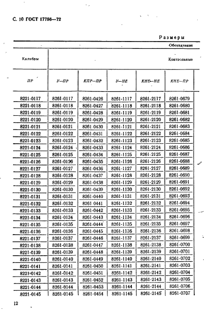
ГОСТ 17756-72

Пробки резьбовые со вставками с полным профилем резьбы диаметром от 1 до 100 мм. Конструкция и основные размеры

Обозначение стандарта:ГОСТ 17756-72
Статус стандарта:действующий
Название рус.:Пробки резьбовые со вставками с полным профилем резьбы диаметром от 1 до 100 мм. Конструкция и основные размеры
Название англ.:Threaded plug-gauges with inserts with full-form of thread of diameters from 1 to 100 mm. Design and basic dimensions
Дата введения в действие:01.07.1973
Область и условия применения:Настоящий стандарт распространяется на пробки резьбовые для контроля метрической резьбы
Взамен:МН 564-62
Список изменений:№1 от --1974-11-01 (рег. --1974-09-19) «Срок действия продлен»
№2 от --1984-04-01 (рег. --1983-11-09) «Срок действия продлен»
№3 от --1990-03-01 (рег. --1989-07-28) «Срок действия продлен»
c=&f2=3&f1=II001&l='>ОКС Общероссийский классификатор стандартов
  • c=&f2=3&f1=II001017&l='>17 МЕТРОЛОГИЯ И ИЗМЕРЕНИЯ. ФИЗИЧЕСКИЕ ЯВЛЕНИЯ
  • c=&f2=3&f1=II001017040&l='>17.040 Линейные и угловые измерения * Включая геометрические характеристики (GPS)
  • c=&f2=3&f1=II001017040030&l='>17.040.30 Измерительные приборы
  • c=&f2=3&f1=II002&l='>КГС Классификатор государственных стандартов
  • c=&f2=3&f1=II002004&l='>Г Машины, оборудование и инструмент
  • c=&f2=3&f1=II002004002&l='>Г2 Инструмент промышленный и приспособления
  • c=&f2=3&f1=II002004002008&l='>Г28 Инструмент измерительный


  • ГОСТ 17756-72
    ГОСТ 17756-72
    ГОСТ 17756-72
    ГОСТ 17756-72
    ГОСТ 17756-72
    ГОСТ 17756-72
    ГОСТ 17756-72
    ГОСТ 17756-72
    ГОСТ 17756-72
    ГОСТ 17756-72
    ГОСТ 17756-72
    ГОСТ 17756-72
    ГОСТ 17756-72
    ГОСТ 17756-72
    ГОСТ 17756-72
    ГОСТ 17756-72
    ГОСТ 17756-72
    ГОСТ 17756-72
    ГОСТ 17756-72
    ГОСТ 17756-72
    ГОСТ 17756-72
    ГОСТ 17756-72
    ГОСТ 17756-72
    ГОСТ 17756-72
    ГОСТ 17756-72
    ГОСТ 17756-72
    ГОСТ 17756-72
    ГОСТ 17756-72
    ГОСТ 17756-72
    ГОСТ 17756-72
    ГОСТ 17756-72
    ГОСТ 17756-72
    ГОСТ 17756-72
    ГОСТ 17756-72
    ГОСТ 17756-72
    ГОСТ 17756-72
    ГОСТ 17756-72
    ГОСТ 17756-72
    ГОСТ 17756-72
    ГОСТ 17756-72
    ГОСТ 17756-72





    Rambler's Top100 яндекс цитировани¤
      Copyright © 2008-2026, www.docload.ru