Бесплатная библиотека стандартов и нормативов www.docload.ru

Все документы, размещенные на этом сайте, не являются их официальным изданием и предназначены исключительно для ознакомительных целей.
Электронные копии этих документов могут распространяться без всяких ограничений. Вы можете размещать информацию с этого сайта на любом другом сайте.
Это некоммерческий сайт и здесь не продаются документы. Вы можете скачать их абсолютно бесплатно!
Содержимое сайта не нарушает чьих-либо авторских прав! Человек имеет право на информацию!

 

ГОСТ Р ИСО 10551-2007

Эргономика тепловой окружающей среды. Определение влияния тепловой окружающей среды с использованием шкал субъективной оценки

Обозначение стандарта:ГОСТ Р ИСО 10551-2007
Статус стандарта:действующий
Название рус.:Эргономика тепловой окружающей среды. Определение влияния тепловой окружающей среды с использованием шкал субъективной оценки
Название англ.:Ergonomics of the thermal environment. Assessment of the influence of the thermal environment using subjective judgement scales
Дата введения в действие:01.06.2008
Область и условия применения:Настоящий стандарт касается вопросов создания и применения оценочных шкал (шкал теплового восприятия, теплового комфорта, теплового предпочтения, формы выражения приемлемости условий и шкалы допусков) для получения надежных и сопоставимых данных о субъективных аспектах теплового комфорта или теплового перегрева
c=&f2=3&f1=II001&l='>ОКС Общероссийский классификатор стандартов
  • c=&f2=3&f1=II001013&l='>13 ОХРАНА ОКРУЖАЮЩЕЙ СРЕДЫ, ЗАЩИТА ЧЕЛОВЕКА ОТ ВОЗДЕЙСТВИЯ ОКРУЖАЮЩЕЙ СРЕДЫ. БЕЗОПАСНОСТЬ
  • c=&f2=3&f1=II001013180&l='>13.180 Эргономика
  • c=&f2=3&f1=II002&l='>КГС Классификатор государственных стандартов
  • c=&f2=3&f1=II002016&l='>Т Общетехнические и организационно-методические стандарты
  • c=&f2=3&f1=II002016005&l='>Т5 Система документации
  • c=&f2=3&f1=II002016005008&l='>Т58 Система стандартов в области охраны природы и улучшения использования природных ресурсов, безопасности труда, научной организации труда


  • ГОСТ Р ИСО 10551-2007
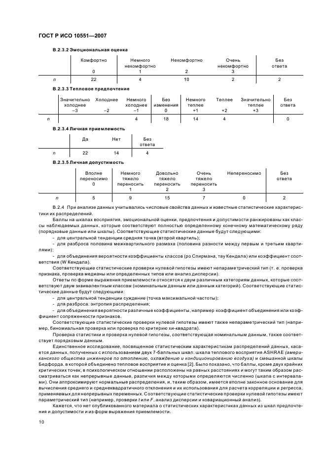
    ГОСТ Р ИСО 10551-2007
    ГОСТ Р ИСО 10551-2007
    ГОСТ Р ИСО 10551-2007
    ГОСТ Р ИСО 10551-2007
    ГОСТ Р ИСО 10551-2007
    ГОСТ Р ИСО 10551-2007
    ГОСТ Р ИСО 10551-2007
    ГОСТ Р ИСО 10551-2007
    ГОСТ Р ИСО 10551-2007
    ГОСТ Р ИСО 10551-2007
    ГОСТ Р ИСО 10551-2007
    ГОСТ Р ИСО 10551-2007
    ГОСТ Р ИСО 10551-2007
    ГОСТ Р ИСО 10551-2007
    ГОСТ Р ИСО 10551-2007
    ГОСТ Р ИСО 10551-2007
    ГОСТ Р ИСО 10551-2007
    ГОСТ Р ИСО 10551-2007
    ГОСТ Р ИСО 10551-2007
    ГОСТ Р ИСО 10551-2007
    ГОСТ Р ИСО 10551-2007
    ГОСТ Р ИСО 10551-2007





    Rambler's Top100 яндекс цитировани¤
      Copyright © 2008-2026, www.docload.ru