Бесплатная библиотека стандартов и нормативов www.docload.ru

Все документы, размещенные на этом сайте, не являются их официальным изданием и предназначены исключительно для ознакомительных целей.
Электронные копии этих документов могут распространяться без всяких ограничений. Вы можете размещать информацию с этого сайта на любом другом сайте.
Это некоммерческий сайт и здесь не продаются документы. Вы можете скачать их абсолютно бесплатно!
Содержимое сайта не нарушает чьих-либо авторских прав! Человек имеет право на информацию!

 

ГОСТ Р ИСО 12100-2-2007

Безопасность машин. Основные понятия, общие принципы конструирования. Часть 2. Технические принципы

Обозначение стандарта:ГОСТ Р ИСО 12100-2-2007
Статус стандарта:действующий
Название рус.:Безопасность машин. Основные понятия, общие принципы конструирования. Часть 2. Технические принципы
Название англ.:Safety of machinery. Basic concepts, general principles for design. Part 2. Technical principles
Дата введения в действие:01.07.2008
Область и условия применения:Настоящий стандарт устанавливает технические принципы, помогающие конструкторам обеспечить безопасность машин.
Для решения конкретных задач настоящий стандарт следует использовать совместно с ИСО 12100-1. Серия ИСО 12100 может использоваться независимо от других документов или как основа для разработки других стандартов типа А, В или С.
В настоящем стандарте не рассматриваются вопросы, связанные с безопасностью домашних животных, нанесением ущерба имуществу или окружающей среде
c=&f2=3&f1=II001&l='>ОКС Общероссийский классификатор стандартов
  • c=&f2=3&f1=II001001&l='>01 ОБЩИЕ ПОЛОЖЕНИЯ. ТЕРМИНОЛОГИЯ. СТАНДАРТИЗАЦИЯ. ДОКУМЕНТАЦИЯ
  • c=&f2=3&f1=II001001040&l='>01.040 Словари *Стандарты,включенные в эту группу, следует также включать в другие группы и/или подгруппы в соответствии с их объектами
  • c=&f2=3&f1=II001001040013&l='>01.040.13 Охрана окружающей среды, защита человека от воздействия окружающей среды. Безопасность (Словари)
  • c=&f2=3&f1=II001013&l='>13 ОХРАНА ОКРУЖАЮЩЕЙ СРЕДЫ, ЗАЩИТА ЧЕЛОВЕКА ОТ ВОЗДЕЙСТВИЯ ОКРУЖАЮЩЕЙ СРЕДЫ. БЕЗОПАСНОСТЬ
  • c=&f2=3&f1=II001013110&l='>13.110 Безопасность механизмов *Эта группа включает стандарты только общего назначения
  • c=&f2=3&f1=II002&l='>КГС Классификатор государственных стандартов
  • c=&f2=3&f1=II002004&l='>Г Машины, оборудование и инструмент
  • c=&f2=3&f1=II002004000&l='>Г0 Общие правила и нормы по машиностроению
  • c=&f2=3&f1=II002004000007&l='>Г07 Техника безопасности


  • ГОСТ Р ИСО 12100-2-2007
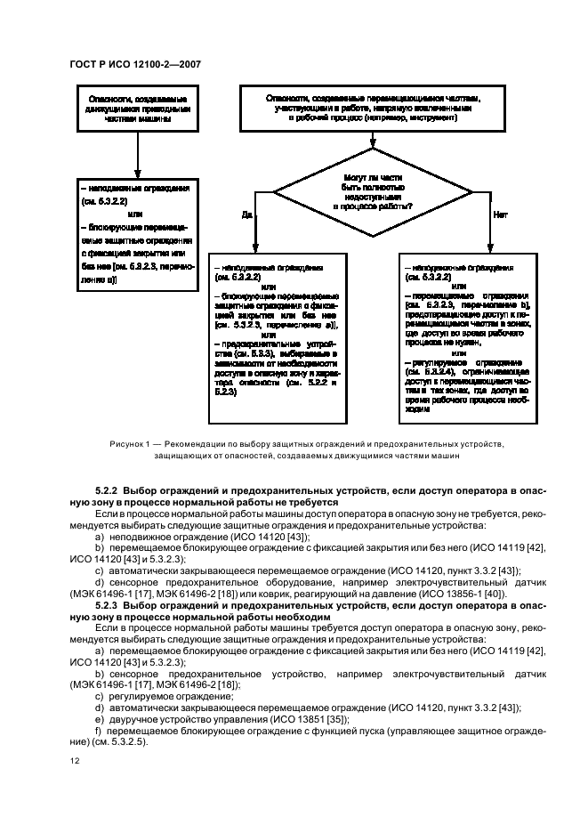
    ГОСТ Р ИСО 12100-2-2007
    ГОСТ Р ИСО 12100-2-2007
    ГОСТ Р ИСО 12100-2-2007
    ГОСТ Р ИСО 12100-2-2007
    ГОСТ Р ИСО 12100-2-2007
    ГОСТ Р ИСО 12100-2-2007
    ГОСТ Р ИСО 12100-2-2007
    ГОСТ Р ИСО 12100-2-2007
    ГОСТ Р ИСО 12100-2-2007
    ГОСТ Р ИСО 12100-2-2007
    ГОСТ Р ИСО 12100-2-2007
    ГОСТ Р ИСО 12100-2-2007
    ГОСТ Р ИСО 12100-2-2007
    ГОСТ Р ИСО 12100-2-2007
    ГОСТ Р ИСО 12100-2-2007
    ГОСТ Р ИСО 12100-2-2007
    ГОСТ Р ИСО 12100-2-2007
    ГОСТ Р ИСО 12100-2-2007
    ГОСТ Р ИСО 12100-2-2007
    ГОСТ Р ИСО 12100-2-2007
    ГОСТ Р ИСО 12100-2-2007
    ГОСТ Р ИСО 12100-2-2007
    ГОСТ Р ИСО 12100-2-2007
    ГОСТ Р ИСО 12100-2-2007
    ГОСТ Р ИСО 12100-2-2007
    ГОСТ Р ИСО 12100-2-2007
    ГОСТ Р ИСО 12100-2-2007
    ГОСТ Р ИСО 12100-2-2007
    ГОСТ Р ИСО 12100-2-2007
    ГОСТ Р ИСО 12100-2-2007





    Rambler's Top100 яндекс цитировани¤
      Copyright © 2008-2026, www.docload.ru